Цена на газ для населения будет разной в каждом регионе, а самая высокая - в Николаевской области
Конечная цена природного газа для населения с 1 мая будет разной по всей территории Украины.
Об этом говорится в заявлении Ассоциации газового рынка Украины, передает РБК Украины. Разница обусловлена решением Национальной комиссии, осуществляющей государственное регулирование в сферах энергетики и коммунальных услуг, о введении для АО «Укртрансгаз» тарифа на транспортировку газа исходя из заказанной мощности. До этого нововведения стоимость газа была единой для потребителей во всех регионах, поскольку для всех областей действовал одинаковый общий тариф.
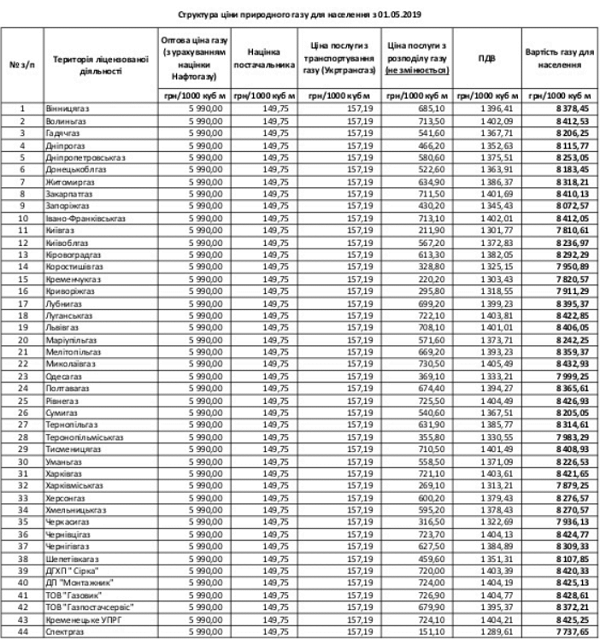
По информации Ассоциации газового рынка Украины, «Нафтогаз» уже направил в облгазы проекты дополнительных соглашений. Согласно документам, оптовая цена газа по которой «Нафтогаз» осуществляет продажу газа для нужд бытовых потребителей, с 1 мая составит 5 990,00 грн. за 1000 куб. м. При этом конечная стоимость газа должна составлять 8 247,00 грн. за 1 тыс. куб. м.
Однако, по информации Ассоциации газового рынка Украины, в мае конечная цена газа платежках будет колебаться от 7 737,65 до 8 432,93 грн за 1 тыс. куб. м.
При этом самая высокая цена – 8 432,93 грн за 1 тыс. куб. м. установлена для потребителей «Николаевгаза», монопольного поставщика для нашей области.

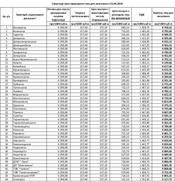
Кроме того, дополнительные соглашения «Нафтогаза» также урегулируют вопрос оптовой цены для нужд бытовых потребителей на июнь 2019 года, которая составит 6 299,00 грн. за 1 тыс. куб. м., а, следовательно, конечная цена газа должна составлять 8 627,01 грн. за 1 000 куб. м. Однако цены будут разными в каждой области.
И вновь самая высокая цена – 8 813,00 грн. за 1 000 куб. м. – для населения Николаевской области.






Кастрюли, что скажете? Опять рука Кремля?
Неплательщиков расстрелять!
Закипятить 1 л. воды на газу - 18 коп. Электричеством - до 10 коп.
Жечь газ - плохо.
петух рыговский...
кто ? Сталин ???
Ватоголовий "Я не в рот," конечно!! "за Життя" тільки жопоблок врятує, їди грій свою кастрюлю на газі путлера!!
Продукты по ценам столицы, теперь вот газ. Может мы живём в столице и не знаем об этом?
Монополизм !!!!!! Это кастрюлеголовая победа!
У шахтеров как было 1гривна 30 коп так и осталось. Кто ж тут окупант???