Дороги и кредиты: появился список участков, которые хотят отремонтировать в Николаеве
В Корабельном районе капремонт планируется провести на четырёх объектах
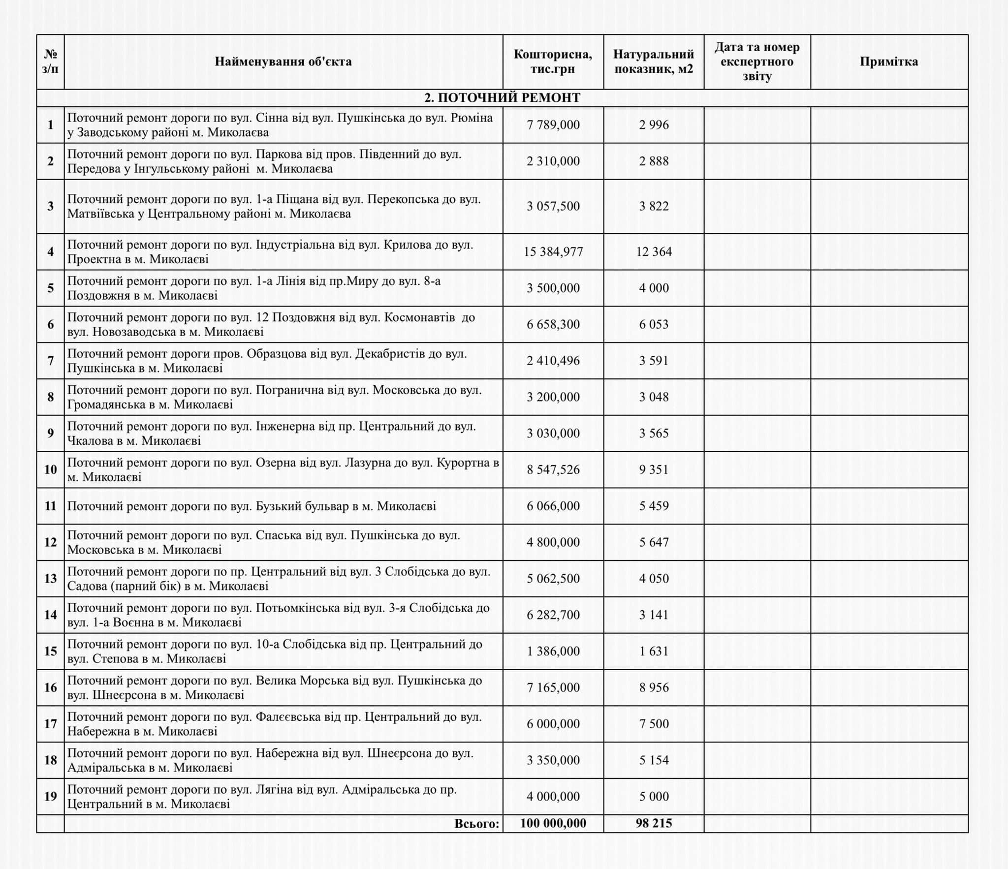
Департамент жилищно-коммунального хозяйства представил депутатам Николаевского городского совета пообъектный перечень дорог, которые собираются отремонтировать за бюджетные и кредитные 150 миллионов гривен. Данный перечень опубликовала глава фракции «Слуга народа» в горсовете на своей странице в социальной сети Facebook.
«Наконец-то депутаты добились пообъектного перечня дорог, которые планируется отремонтировать в Николаеве за почти 285 миллионов гривен, из которых 150 миллионов были взяты в кредит. Неоднократно на сессиях мы поднимали вопрос о том, что кредит взят, деньги есть, а списка до сих пор нет. Не понимаю, что мешает обнародовать эти данные на сайте Николаевского городского совета», — написала она.
Николаевские депутаты проголосовали за взятие кредита в 150 млн на ремонт дорог
Что касается Корабельного района, то капитальный ремонт планируется провести на четырёх объектах:
- — по ул. Гетмана Сагайдачного от улицы Краеведов до улицы Андреева за 2,4 млн грн (площадь нового покрытия составит 1754 кв.м.);
- — по ул. Тернопольской от улицы Леси Украинки до улицы Пшеницына за 2,63 млн грн (2999 кв.м.);
- — по ул. Генерала Шепетова от проспекта Богоявленского до дома №60 за 1,69 млн грн (1345 кв.м.);
- — по ул. Рыбной в частном секторе от №86 до улицы Кленовой за 1,27 млн грн (1328 кв.м.).
Текущий ремонт дорог в Корабельном районе делать не планируют.







Возле феникса злополучного хоть дыру залатайте. Как ее можно было пропустить в прошлый ремонт?
А Новозаводская почему игнорится?
Шепетова до дома 60!!!! Это [censored] Это 50метров!!! А остальную часть улицы? Там асфальта нет вообще, мы по этой улице плавает по болоту на остановку!!! 20 лет просим, молимся её заасфальтировать и в итоге получили 30% улицы, то что видно с проспекта.
И себе не забудьте в карман положить)
Думаете кредит для ваших дорог взяли?